視線ベクトルの屈折ベクトル

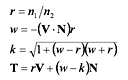
視線ベクトル V,屈折点の法線ベクトル N, 視線が物体に入射する前の空間の屈折率 n1, 物体の屈折率 n2 のとき,

視線の屈折ベクトル

視線ベクトルの屈折ベクトル T は,次式で求められる.

屈折ベクトルの求め方